Valentino Maiorca

Apple MLR Intern | ELLIS Ph.D. Student (Sapienza & ISTA)

prof_pic.jpg

I’m interested in how the semantics of data shape the latent geometry of neural networks and enable information transfer between them.

I study how to act on this shared geometry, from aligning representational spaces to steering them toward task-relevant properties. The goal is to understand better what models learn and how to control, transfer, or repurpose that knowledge.

I’m always open to collaborations, discussions, and new ideas, so feel free to contact me!


Full CV available here.

selected publications

  1. Pau Rodriguez, Michael Klein, Eleonora Gualdoni, Valentino Maiorca, Arno Blaas, Luca Zappella, Marco Cuturi, and Xavier Suau
    In The Thirty-ninth Annual Conference on Neural Information Processing Systems, 2025
    TL;DR: We introduce LinEAS, a method for controlling generative models by learning affine transformations on internal activations using optimal transport theory. Training end-to-end across all layers with just 32 unpaired samples and sparse regularization for automatic neuron selection, LinEAS achieves effective toxicity mitigation in LLMs and style control in text-to-image models without retraining
  2. NeurIPS spotlight
    Lorenzo Basile, Valentino Maiorca, Diego Doimo, Francesco Locatello, and Alberto Cazzaniga
    In The Thirty-ninth Annual Conference on Neural Information Processing Systems, 2025
    TL;DR: We use Simultaneous Orthogonal Matching Pursuit to identify attention heads specialized in narrow semantic domains (colors, countries, toxicity) in large language and vision-language models. Intervening on as few as 1% of heads enables bidirectional concept control—suppressing toxic content by 34-51% or enhancing target attributes—without any training
  3. Lorenzo Basile*, Valentino Maiorca*, Luca Bortolussi, Emanuele Rodolà, and Francesco Locatello
    TMLR, 2025
    TL;DR: We discover that attention head representations in vision transformers lie on low-dimensional manifolds where principal components encode specialized semantics (letters, locations, animals, etc.). By selectively amplifying task-relevant principal components through learned anisotropic scaling (ResiDual), we achieve fine-tuning level performance with up to 4 orders of magnitude fewer parameters than full fine-tuning.
  4. ICLR oral
    Luca Moschella*, Valentino Maiorca*, Marco Fumero, Antonio Norelli, Francesco Locatello, and Emanuele Rodola
    In International Conference on Learning Representations, 2023
    TL;DR: We introduce relative representations that make neural network latent spaces invariant to training stochasticity by encoding data points relative to anchor samples using cosine similarity. This enables zero-shot model stitching across different random seeds, architectures, languages, and datasets without any training.
  5. Antonio Norelli, Marco Fumero, Valentino Maiorca, Luca Moschella, Emanuele Rodola, and Francesco Locatello
    In Advances in Neural Information Processing Systems, 2023
    TL;DR: ASIF creates multimodal models without any training by using relative representations computed from frozen pre-trained unimodal encoders and a small collection of image-text pairs. This training-free approach achieves competitive zero-shot classification with 250× less data than CLIP, while providing built-in interpretability.
  6. Valentino Maiorca*, Luca Moschella*, Antonio Norelli, Marco Fumero, Francesco Locatello, and Emanuele Rodolà
    In Advances in Neural Information Processing Systems, 2023
    TL;DR: We enable zero-shot stitching of independently trained encoders and decoders by estimating simple transformations (orthogonal via Procrustes analysis) between their latent spaces using semantically aligned anchor points. This works across architectures, domains, and even modalities without requiring training on relative representations.
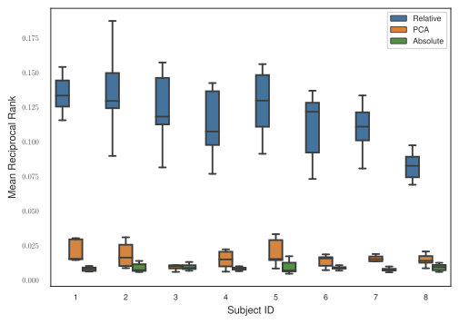
  7. Multi-subject neural decoding via relative representations
    Valentino Maiorca, Simone Azeglio, Marco Fumero, Clémentine Dominé, Emanuele Rodolà, and Francesco Locatello
    In COSYNE, 2024
    TL;DR: We apply relative representations to neural decoding, mapping fMRI data from different subjects into a common subject-agnostic representational space by leveraging neural encoders and anchor-based similarity functions. On the Natural Scenes Dataset with 8 subjects, our framework achieves substantially higher cross-subject retrieval accuracy than PCA and absolute baselines, enabling generalization without expensive alignment training